多路雙管正激直流電源設計
引言
在中等容量的開關直流電源中,雙管正激直流電源變換器有比較明顯的優勢,它克服了單管正激直流電源變換器開關管直流電源電壓應力過高的缺點,而且不需要特殊變壓器磁復位直流電源電路設計。更重要的是,與全橋直流電源變換器和半橋直流電源變換器相比,其在結構上有抗橋臂直通的優點,因此已成為應用最為普遍的直流電源電路設計拓撲結構。本文設計了一種采用UC3844控制的多路輸出雙管正激開關直流電源。UC3844是一種直流電源電流調制的PWM控制器,實現直流電源電壓直流電源電流雙閉環控制,芯片內阻較大(30kD),啟動直流電源電流小(小于l mA),因此在高壓輸入時仍然可以使用大電阻分壓來進行啟動,直接采用變壓器輸出端反饋,控制直流電源電路設計簡單,直流電源電路設計輸出采用LM350調整直流電源電壓精度。
1 直流電源變換器工作原理
本文設計的直流電源變換器輸出功率200W,開關頻率為50kHz,工作范圍400~600V,輸出4路分別為24V、+12V和5 V。
圖1是直流電源變換器的原理圖,主直流電源電路設計是雙管正激
直流電源變換器,開關管S1和S2跳同時導通,能量通過高頻變壓器傳輸到輸出側,經整流輸出給負載;開關管關斷時,變壓器能量通過續流二極管D1和 D2回饋到輸人端,變壓器磁芯復位。
S1和S2采用功率 MOSFET 作為功率開關管。開關管與瞬態直流電源電壓抑制器( TVS )并聯,可靠保護開關管。 R3 、C2、 D9 構成高頻變壓器原邊緩沖直流電源電路設計,用以限制開關管漏極因高頻變壓器的漏感而可能產生的尖峰直流電源電壓, D9 選用超快恢復二極管,恢復時間為 75ns 。變壓器原邊的直流輸入直流電源電壓、原邊繞組的感應直流電源電壓以及由變壓器的漏感而產生的尖峰直流電源電壓,三者疊加在一起,其值可能超過 MOSFET 的額定直流電源電壓,所以必須在開關管的 D-S極之間增加鉗位直流電源電路設計和吸收直流電源電路設計,用以保護功率 MOSFET 不被損壞。 R1,R2、C1、D3 與 R4、R5、C3、D4。構成了兩個開關管的緩沖直流電源電路設計, D3 和 D4 選用超快恢復管,其最大反向耐壓值為 700V ,恢復時間為 30ns。
輸出部分采用半波加續流二極管整流,二極管選用超快恢復 MUR820 ,額定值為 8A200V ,恢復時間為 30ns 。
直流電源變換器工作原理
UC3844直流電源電流 PWM 模式集成控制芯片廣泛用于中、小功率的 DC/DC開關直流電源, UC3844 內部主要由 5 . 0V 基準直流電源電壓源、振蕩器、降壓器、直流電源電流檢測比較器、 PWM 鎖存器、高增益 E/A 誤差放大器和用于驅動功率 MOSFET的大直流電源電流推挽輸出直流電源電路設計等構成,啟動/關閉直流電源電壓閡值為 16V/ 10V ,輸出最大占空比為 50 % ,工作頻率 0~500 kHz ,驅動能力達±1A 。
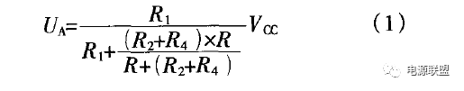
UC3844 典型外圍直流電源電路設計如圖 2 所示。 UC3844 的內阻大約 30KΩ,它的啟動直流電源電壓可以由主直流電源電路設計輸人直流電源電壓經過 R1、R2、R3、R(芯片內阻)分壓而得到,由圖 2 可以知道, A 點直流電源電壓的計算公式為

UC3844 的啟動直流電源電壓為 16V ,式中 R =30KΩ , R2 = 20KΩ, R4 = 4 . 7KΩ,可計算出,當 R1=300KΩ 時, Vcc =400V 直流電源電路設計開始工作。 UC3844 啟動時直流電源電流不到 1mA ,啟動過程中電阻 R1所消耗的功率 PPRI大約為
在雙管正激直流電源變換器中,兩開關管是同步的,因此采用變壓器分兩路來同時給開關管驅動信號,接線如圖 3 所示。 UC3844 正常工作時的直流電源和直流電源電壓反饋由主變壓器的反饋繞組提供;除此之外,通過小電阻對開關管直流電源電流進行采樣,作為 UC3844的直流電源電流反饋信號。 UC3844 輸出驅動脈沖為15 V , 輸出直流電源電流可到 IA ,考慮到變壓器及元件的壓降,變壓器設計為升壓型,變比為16:18,輸出端采用15 V穩壓管對驅動信號進行穩壓。
3 調整直流電源電壓精度
傳統的UC3844用于反激直流電源變換器采用離線式結構,這種方式直流電源電路設計簡單,整個補償網絡只由PI直流電源電路設計構成,參數選擇簡便。但是由于反饋不直接從輸出直流電源電壓取樣,所以輸出直流電源電壓仍有很大的紋波,一般為±2%,負載變化時,輸出直流電源電壓變化大、響應慢,不適用于精度要求高或負載變化大的場合。在精度要求較高的時候,則要通過穩壓來調整輸出精度。本文借助于可調三端穩壓器LM350來滿足精度要求。LM350最大輸出直流電源電流可以達到3 A,直流電源電壓調整范圍為1.2-33 V,圖4為LM350的典型應用圖,輸出直流電源電壓計算式為:
其中IADJ=50μA,R1=240Ω,通過調整可調電阻尺 來對輸出穩壓值進行調節。直流電源電路設計中輸出濾波電容C2的存在,LM350對輸人到LM350的直流電源電壓紋波非常敏感,因此在輸人端增加旁路電容C1來削弱輸人直流電源電壓紋波的影響。
4 實驗結果及分析
實驗直流電源電路設計參數:對應于輸人400~600V,而輸出直流電源電壓24V、±12V、5 V,主變壓器原副邊變比為75:6、3、1,由于本文設計的反饋是24 V支路繞組反饋,其它支路的采用LM350對輸出穩壓。實驗數據如表1所列,實驗波形如圖5 圖8所示。
5 結語
實驗結果表明,本文設計用UC3844控制的多路輸出雙管正激直流電源變換器具有穩定性好。使用大電阻分壓來調整直流電源電路設計啟動直流電源電壓值,控制直流電源電路設計簡單可靠,實用性強,適用于寬范圍直流電源電壓輸人場合。同時為適合不同的精度要求,設計了兩種方案,一種是精度要求較低時直接由變壓器整流輸出,另一種是精度較高時采用三端穩壓管LM350進行調整。經過實驗測試,兩種方案可以滿足不同場合需求。



表1實測數據比較
|
測試項目 |
輸出紋波 |
輸出紋波 |
調整率 |
調整率 |
|
測試條件 |
未采用 LM350 |
采用 LM350 |
未采用 IJW350 |
采用 F.M350 |
|
24V支路 |
1% |
<0.5% |
A=1.2V 5% |
A=200mV 0.8% |
|
±I2V支路 |
1% |
<0.4% |
A=1V 8% |
A=120mV 1.2% |
|
5V支路 |
1% |
<0.3% |
A=300mV 6% |
A=50mV
1.2% |
- 上一篇:【名詞解釋】流量傳感器 2017/6/14
- 下一篇:充電機:充電機和充電器的區別 2017/6/13
