如何基于雙LCC實現電動汽車多階段恒流蓄電池充電機無線充電技術?
2018-5-9 13:42:13??????點擊:
電動汽車作為一種新能源汽車,以其污染小、噪音低等優點,得到國際和國內社會的廣泛認可和支持,隨著社會的不斷發展和科技的不斷進步,電動汽車的充電方式也從傳統的充電機有線充電模式向蓄電池充電機無線充電模式過渡。相較于有線充電方式,蓄電池充電機無線充電具有方便、安全、操作簡單及無機械磨損等優點,得到廣泛關注和研究。
但是,目前電動汽車的蓄電池充電機無線充電多為恒流充電,而恒流充電盡快可以較為快速的為動力電池補充能量,但是在充電的后期會造成電池嚴重的極化現象,進而縮短動力電池的使用壽命。
針對這個問題,本文提出了基于LCC的電動汽車多階段恒流蓄電池充電機無線充電技術,隨著動力電池的電量的上升,減小動力電池的充電電流的大小,進而使得動力電池的充電電流較為接近動力電池的最佳充電曲線,進而可以減少對動力電池的損害,延長其使用壽命,降低電動汽車的使用成本,且可以降低動力電池的更換頻率,進而對環境更友好。
技術原理
三相交流電或者單相交流電經工頻整流濾波電路和功率因數校正電路變換成直流電,經高頻逆變電路變換成高頻交流電,注入到由諧振補償電路和原邊線圈構成的諧振網絡,在原邊線圈周圍產生高頻交變磁場,副邊線圈在高頻交變磁場中感應出高頻交流電,經諧振補償電路和整流濾波電路之后為電動汽車充電。
多階段恒流充電
多階段恒流充電示意圖如圖2所示,從圖中可以看出充電過程分為若干個階段,且從初始階段到最終階段電流是依次減小的,且電流越大,充電時間越短;電流越小,對應的階段充電時間越長。


將動力電池的充電階段分的越多,動力電池的充電電流便越接近于最佳充電曲線,對電池的損害便越小,更有利于延長動力電池的使用壽命。若動力電池為鋰電池,最后階段的電流一般為電池組容量的0.05倍,當電池電壓達到截止電壓便可以停止充電。
雙LCC諧振補償拓撲
如圖3所示L1是原邊線圈感值,L2是副邊線圈感值,C1、Cf1和Lf1是原邊補償電感和電容,C2、Cf2和Lf2是副邊補償電感和電容,UAB是逆變器的輸出電壓和Uab是副邊補償拓撲的輸出電壓,M是原副邊線圈互感。i1、i2、if1和if2分別是線圈L1、L2、Lf1、Lf2的電流。

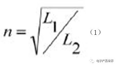
電動汽車蓄電池充電機無線充電系統中的磁路機構是一個松耦合變壓器,故可將圖3中的副邊電感電容折算到原邊,得到如圖4所示的等效電路圖。為了簡化分析,忽略電感電容的內阻,且只考慮逆變器輸出電壓的基波。定義松耦合變壓器的變比n為:

圖4中的變量可由公式(2)表達:

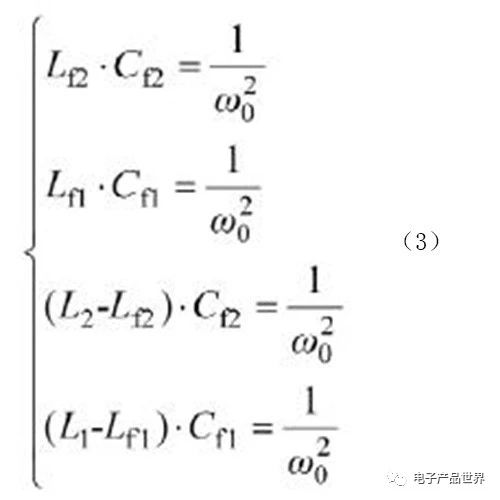
其中Lm為折算到原邊的勵磁電感。對于如圖2所示的高階系統,其諧振頻率有多個,本文重點研究LCC的電壓電流特性,不研究其頻域特性,故本文將系統的工作頻率設定為一個固定的諧振頻率。電路諧振狀態下,逆變器的輸出電壓和輸出電流是同相位的,由公式(3)可計算電路的諧振頻率。

此處的ω0是補償電路的固有諧振角頻率,從式(3)中可看出角頻率只與電路中的電感電容有關,而與負載、原副邊的互感無關。下文設定的頻率均為固定的諧振角頻率。




從式(3)可知,雙LCC可以在動力電池充電的全過程以及耦合系數發生變化的情況下保持諧振狀態,此性能非常符合電動汽車的蓄電池充電機無線充電的應用背景,因為動力電池充電過程中其等效電阻會不斷增大,且每次充電原副邊線圈會存在不同程度的偏移,故每次充電的耦合系數也是不同的。
由式(16)可知,雙LCC補償拓客可以實現恒流輸出,且其輸出電流的大小與逆變器的輸出電壓成正比,故可控制逆變器的輸出電壓來調節動力電池的充電電流,實現動力電池的多階段恒流充電。
仿真驗證
在MATLAB/Simulink中搭建仿真電路,電路參數表1所示。

圖6為系統輸出電流波形圖。在0.06 s、0.1 s,0.14 s切換電阻,阻值依次為100 Ω、50 Ω、33 Ω及25 Ω,從圖6中可得:電阻變化前后,電流幾乎不變。電阻切換時出現震蕩,在短時間內會穩定在某一固定值。動力電池充電時,可認為其等效內阻在一定時間內不變,故不會產生圖7中所示的震蕩。

圖8為動力電池組不同的電量時對應的充電電流,因為在電腦中模擬的時間長度有限,故在仿真時每個階段容量設置為0.005 C。

在t1時刻將電阻由25 Ω切換到33 Ω;在t2時刻將電阻由33 Ω切換到50 Ω,得到如圖7所示的系統輸出電流,可看出電阻切換前后電流大小幾乎不變,可以用來實現電動汽車的多階段恒流充電。
但是,目前電動汽車的蓄電池充電機無線充電多為恒流充電,而恒流充電盡快可以較為快速的為動力電池補充能量,但是在充電的后期會造成電池嚴重的極化現象,進而縮短動力電池的使用壽命。
針對這個問題,本文提出了基于LCC的電動汽車多階段恒流蓄電池充電機無線充電技術,隨著動力電池的電量的上升,減小動力電池的充電電流的大小,進而使得動力電池的充電電流較為接近動力電池的最佳充電曲線,進而可以減少對動力電池的損害,延長其使用壽命,降低電動汽車的使用成本,且可以降低動力電池的更換頻率,進而對環境更友好。
技術原理
三相交流電或者單相交流電經工頻整流濾波電路和功率因數校正電路變換成直流電,經高頻逆變電路變換成高頻交流電,注入到由諧振補償電路和原邊線圈構成的諧振網絡,在原邊線圈周圍產生高頻交變磁場,副邊線圈在高頻交變磁場中感應出高頻交流電,經諧振補償電路和整流濾波電路之后為電動汽車充電。
多階段恒流充電
多階段恒流充電示意圖如圖2所示,從圖中可以看出充電過程分為若干個階段,且從初始階段到最終階段電流是依次減小的,且電流越大,充電時間越短;電流越小,對應的階段充電時間越長。


將動力電池的充電階段分的越多,動力電池的充電電流便越接近于最佳充電曲線,對電池的損害便越小,更有利于延長動力電池的使用壽命。若動力電池為鋰電池,最后階段的電流一般為電池組容量的0.05倍,當電池電壓達到截止電壓便可以停止充電。
雙LCC諧振補償拓撲
如圖3所示L1是原邊線圈感值,L2是副邊線圈感值,C1、Cf1和Lf1是原邊補償電感和電容,C2、Cf2和Lf2是副邊補償電感和電容,UAB是逆變器的輸出電壓和Uab是副邊補償拓撲的輸出電壓,M是原副邊線圈互感。i1、i2、if1和if2分別是線圈L1、L2、Lf1、Lf2的電流。

電動汽車蓄電池充電機無線充電系統中的磁路機構是一個松耦合變壓器,故可將圖3中的副邊電感電容折算到原邊,得到如圖4所示的等效電路圖。為了簡化分析,忽略電感電容的內阻,且只考慮逆變器輸出電壓的基波。定義松耦合變壓器的變比n為:

圖4中的變量可由公式(2)表達:

其中Lm為折算到原邊的勵磁電感。對于如圖2所示的高階系統,其諧振頻率有多個,本文重點研究LCC的電壓電流特性,不研究其頻域特性,故本文將系統的工作頻率設定為一個固定的諧振頻率。電路諧振狀態下,逆變器的輸出電壓和輸出電流是同相位的,由公式(3)可計算電路的諧振頻率。

此處的ω0是補償電路的固有諧振角頻率,從式(3)中可看出角頻率只與電路中的電感電容有關,而與負載、原副邊的互感無關。下文設定的頻率均為固定的諧振角頻率。




從式(3)可知,雙LCC可以在動力電池充電的全過程以及耦合系數發生變化的情況下保持諧振狀態,此性能非常符合電動汽車的蓄電池充電機無線充電的應用背景,因為動力電池充電過程中其等效電阻會不斷增大,且每次充電原副邊線圈會存在不同程度的偏移,故每次充電的耦合系數也是不同的。
由式(16)可知,雙LCC補償拓客可以實現恒流輸出,且其輸出電流的大小與逆變器的輸出電壓成正比,故可控制逆變器的輸出電壓來調節動力電池的充電電流,實現動力電池的多階段恒流充電。
仿真驗證
在MATLAB/Simulink中搭建仿真電路,電路參數表1所示。

圖6為系統輸出電流波形圖。在0.06 s、0.1 s,0.14 s切換電阻,阻值依次為100 Ω、50 Ω、33 Ω及25 Ω,從圖6中可得:電阻變化前后,電流幾乎不變。電阻切換時出現震蕩,在短時間內會穩定在某一固定值。動力電池充電時,可認為其等效內阻在一定時間內不變,故不會產生圖7中所示的震蕩。

圖8為動力電池組不同的電量時對應的充電電流,因為在電腦中模擬的時間長度有限,故在仿真時每個階段容量設置為0.005 C。

在t1時刻將電阻由25 Ω切換到33 Ω;在t2時刻將電阻由33 Ω切換到50 Ω,得到如圖7所示的系統輸出電流,可看出電阻切換前后電流大小幾乎不變,可以用來實現電動汽車的多階段恒流充電。
- 上一篇:充電機充電電池系統高壓化的方案選擇 2018/5/9
- 下一篇:高壓大模組的全自動恒流恒壓充電器充電蓄電池系統設計方案可行嗎 2018/5/6
